
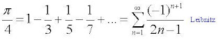
Một số công thức tính giá trị của PI
Gốc > HẰNG SỐ TOÁN HỌC >
Đỗ Văn Cường @ 19:52 11/11/2010
Số lượt xem: 1632
Số Pi - Phần 4: Một số công thức tính giá trị của PI
Đỗ Văn Cường @ 19:52 11/11/2010
Số lượt xem: 1632
Số lượt thích:
0 người
 
- Chuyện vui Toán học - Phần 9: Triều đại của số KHÔNG (11/11/10)
- Ngày căn bậc hai (square root day) (11/11/10)
- Ngày số Pi - Pi Day 3.14 (11/11/10)
- Ngày số Pi (11/11/10)
- Số PI - Phần 3 : Hỗ độn số PI (03/11/10)


Các ý kiến mới nhất