Lý do chính để đưa ra số e, đặc biệt trong giải tích, là để lấy vi phân và tích phân của hàm mũ và logarit. Một hàm mũ tổng quát y=a^x có đạo hàm dưới dạng giới hạn:
Giới hạn ở bên phải độc lập với biến x: nó chỉ phụ thuộc vào cơ số a. Khi cơ số là e, giới hạn này tiến tới một, và do đó e được định nghĩa bởi phương trình:Một lý do khác đến từ việc xét cơ số logarit a. Xét định nghĩa của đạo hàm của logax bởi giới hạn:
Logarit trong trường hợp đặc biệt này được gọi là logarit tự nhiên (thường được kí hiệu là "ln"), và nó cũng dễ dàng lấy vi phân vì không có giới hạn chưa xác định nào phải thực hiện trong khi tính toán.Do đó có hai cách để chọn một số đặc biệt a=e. Một cách là đặt sao cho đạo hàm của hàm số ax là ax. Một cách khác là đặt sao cho đạo hàm của logarit cơ số a là 1/x. Mỗi trường hợp đều đi đến một lựa chọn thuận tiện để làm giải tích. Thực tế là, hai cơ số có vẻ rất khác nhau này lại chỉ là một, số e.
Các đặc điểm khác
Một số đặc điểm khác của số e: một là về giới hạn dãy, một cái khác là về chuỗi vô hạn, và vẫn còn một số khác về tích phân. Trên đây ta đã giới thiệu hai tính chât:
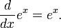
1. Số e là số thực dương duy nhất mà : Đạo hàm của hàm số mũ cơ số e chính là hàm số đó
2. Số e là số thực dương duy nhất mà
Các tính chất khác sau đây cũng được chứng minh là tương đương:3. Số e là giới hạn

4. Số e là tổng của chuỗi vô hạn trong đó n! là giai thừa của n.

5. Số e là số thực dương duy nhất mà
(nghĩa là, số e là số mà diện tích dưới hyperbol f(t) = 1 / t từ 1 tới e là bằng một)

Các ý kiến mới nhất